應用數學系

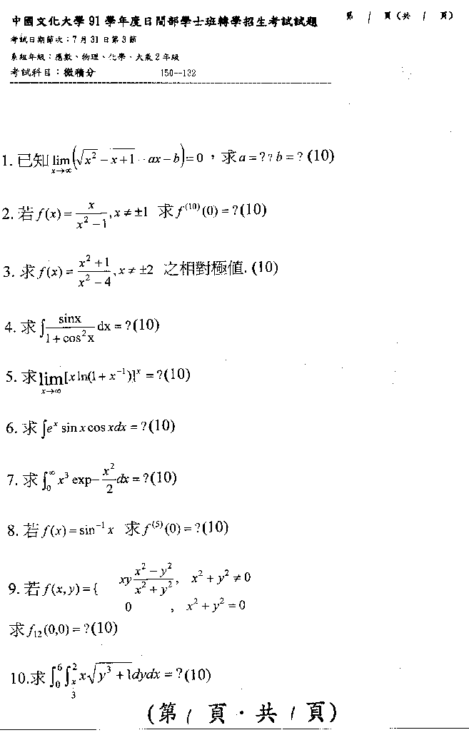
二年級考題 微積分:

89 90 91 92 93 94 95 96 97 98 99 100 100(寒轉) 101 101(寒轉) 102(寒轉) 103(寒轉) 104(寒轉)

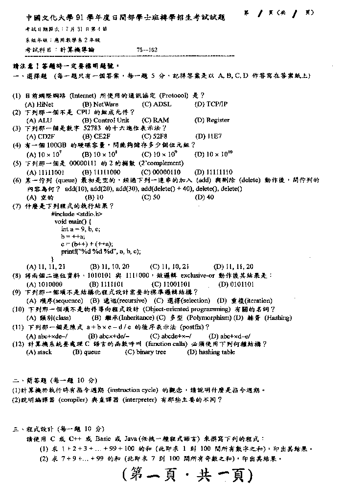
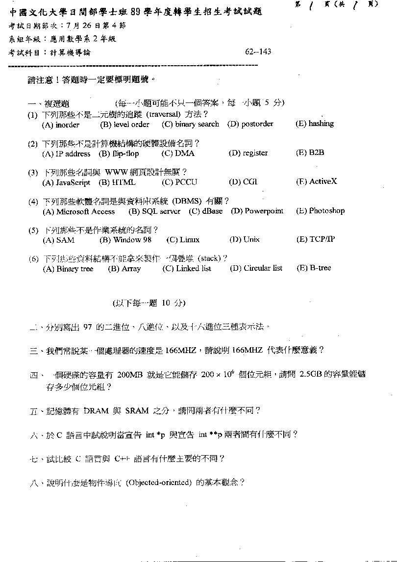
二年級考題 計算機導論:

89 90 91 92 93 94 95 96 97 98 99 100 101 102 103 105

三年級考題 線性代數:

89 90 91 92 93 94 95 96 97 98 99 100 101 102 103 105

三年級考題 統計學(含機率論):

89 90 911 2 92 931 2 3 4

三年級考題 高等微積分:

89 90 91 92 93 94 95 96 97 98 99 100 101

項目符號 基礎科學概論:

100(寒轉) 101(寒轉)

項目符號 自然科學概論:

102(寒轉) 103(寒轉) 104(寒轉)


回前頁