物理學系

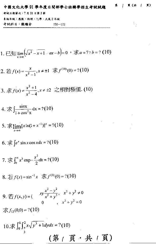
二年級考題 微積分:

89 90 91 92 93 94 95 96 97 98 99 100 100(寒轉) 101 101(寒轉) 102(寒轉) 103(寒轉) 104(寒轉)

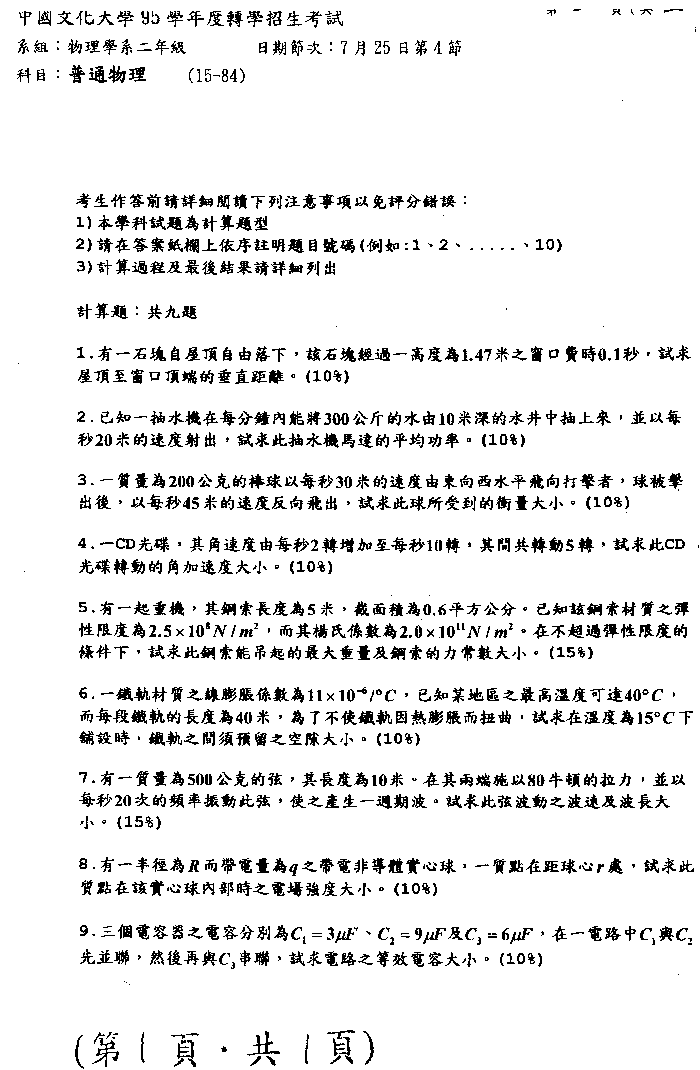
二年級考題 普通物理:

89 901 2 911 2 92 931 2 94 95 96 97 98 99 100 101

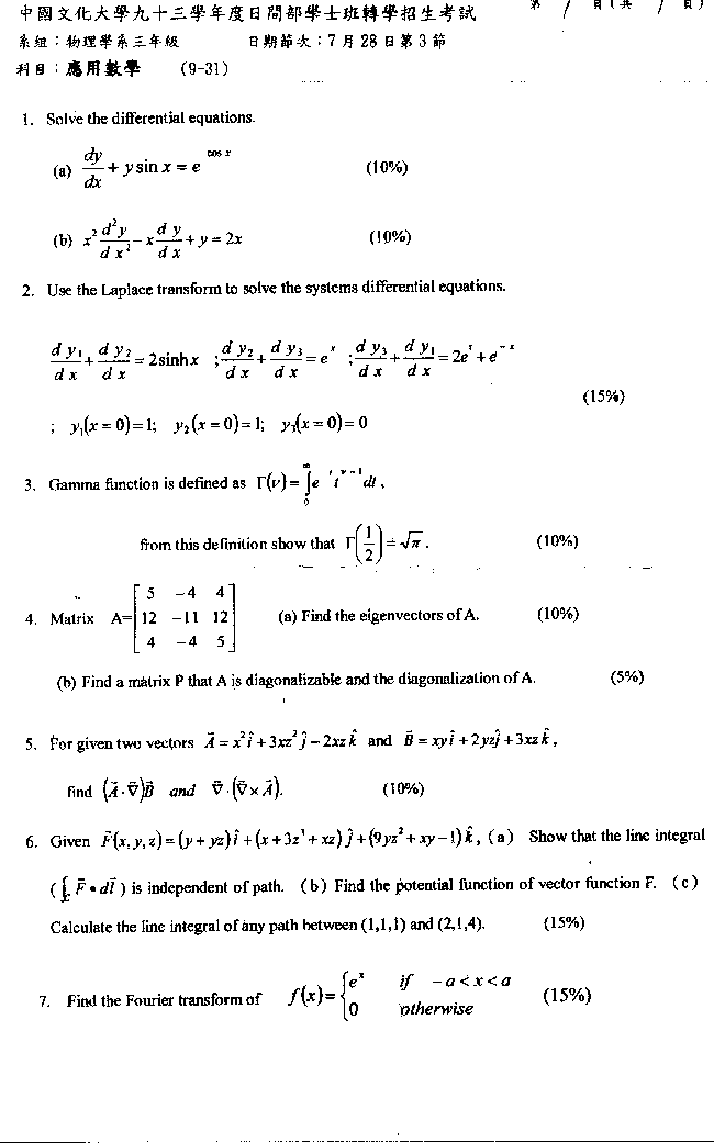
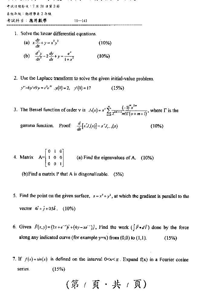
三年級考題 應用數學:

89 90 91 92 93

三年級考題 電磁學:

89 90 91 92 93 941 2 95 96 97 98 99 100 101

三年級考題 力學:

89 90 91 92 93 94 95 96 97 98 99 100 101

項目符號 基礎科學概論:

100(寒轉) 101(寒轉)

項目符號 自然科學概論:

102(寒轉) 103(寒轉) 104(寒轉)


回前頁