材料科學與製造研究所

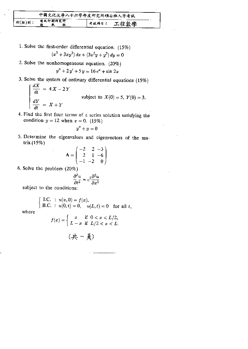
項目符號工程數學:

86 87 88 89 90 91

項目符號物理化學:

861 2 881 2 3 891 2 901 2 91

項目符號物理學:

87

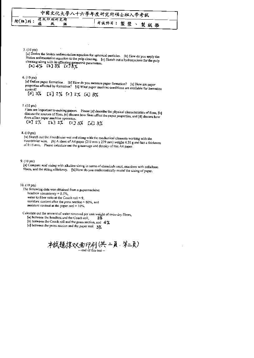
項目符號製漿製紙學:

861 2

項目符號輸送現象與單元操作:

861 2

項目符號材料力學:

87 89 90 91

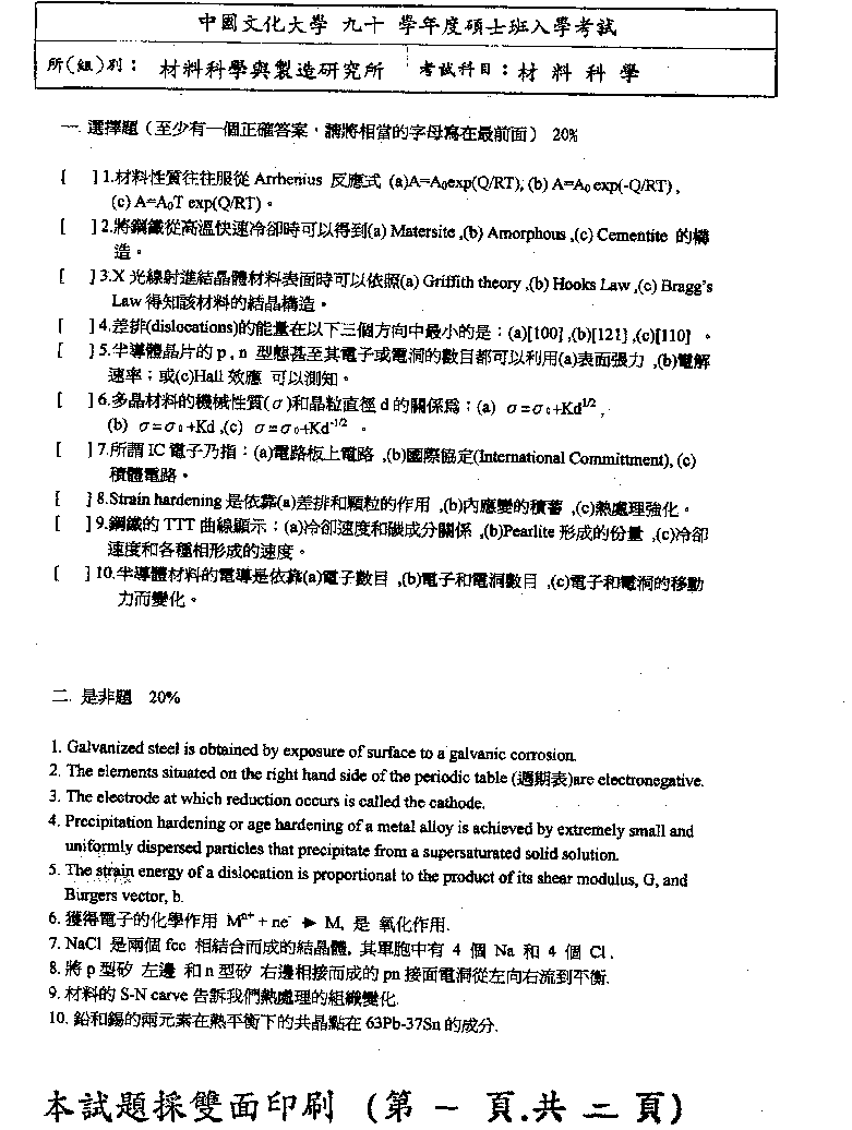
項目符號材料科學:

871 2 881 2 891 2 3 901 2 911 2 3

項目符號纖維高分子:

89 90 91

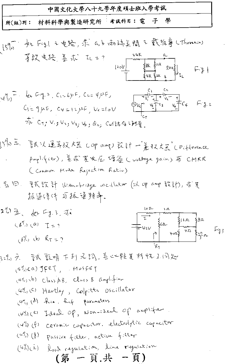
項目符號電子學:

89 901 2 91


回前頁